私が制作している架空世界「Aqualiartz」内で成立する物理法則である。
世界については以下を参照のこと。
架空世界「Aqualiartz」について
重力場
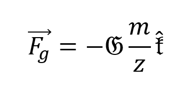
重力(gravity)とはAqualiartz世界上の全ての物体に影響を及ぼす場である。Aqualiartz世界では、以下の重力原理が適応される。
このように、重力は基準面(The Wall)に向き垂直なベクトルである。
また、高度による重力は以下のような値を取る。
上記表より、質量を持つ物体は基準面であるThe Wallを通過できない。
時間場
時間(time)とはAqualiartz世界上の全ての物体に影響を及ぼす場である。Aqualiartz世界では、以下の時間原理が適応される。
このように、時間の間隔は高度と世界に依存しており、The Wallからの距離が遠くなるほど時間の間隔が広がり流れは遅くなる。反対に距離が近くなるほど時間の間隔が狭まり流れが速くなる。しかし、高度が高くなりすぎると時間の間隔が絶対時間の間隔とほぼ等しくなる。時間の間隔が急激に変化するのはGaolsphereかSanatosphereのみである。
光子場
光は光子場と呼ばれるスカラー場の励起である。任意の点での光強度L(r)は以下のように表現される。
光は物体に当たると反射する。その際、反射光の光強度は入射光の光強度より小さくなる。







Top comments (0)